登录
注册
<< 返回列表
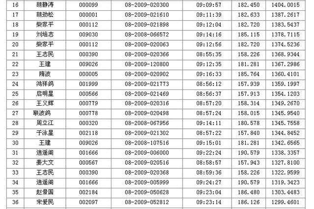
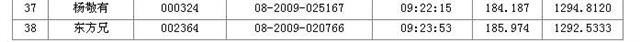
平房赛鸽俱乐部2009年秋季200公里指定鸽成绩
2009-09-07 20:50:03
评论
更多评论>>
登录
↑回顶部