登录
注册
<< 返回列表
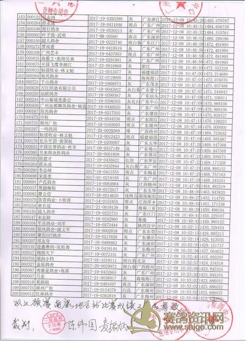
第二关预赛前两百名获奖成绩确认裁判签名照 !
2017-12-08 11:58:41
↑回顶部