登录
注册
<< 返回列表
2018世信锦标赛暨FCI公棚赛决赛在台圆满落幕,FCI主席:叹为观止
2018-03-27 15:07:24
「鸽界第一新闻」台湾又创建了什么第一? 2018世信锦标赛暨FCI公棚赛决赛今日在台圆满落幕! FCI主席致词:这次在台湾举办的这场赛事是他前所未见的,世界第一场第一次看到赛事全程以GPS定位追踪报导选手鸽的位置和路线途,并能同歩即时计算出排名,叹为观止!
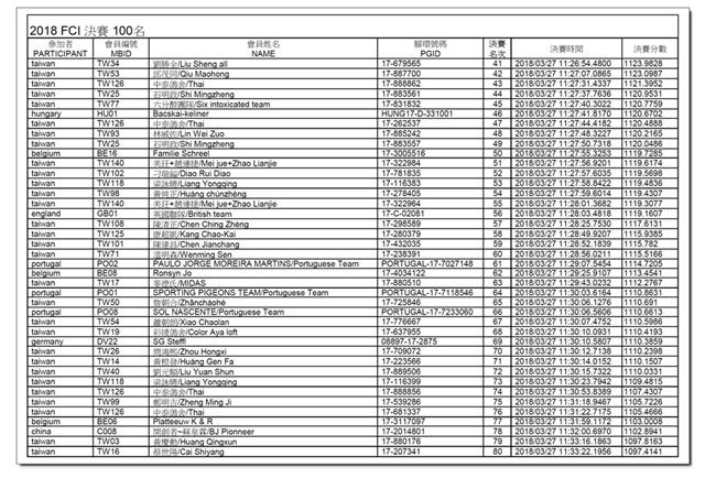
冠军和第四名由福建省信鸽连队夺得,台湾台北队摘得银牌和铜牌!前五名两岸全包了实在太强了呵呵。 福建省信鸽联队为国争光,获得决赛冠军、4位。台湾地区丁绍杰、海翔皇,分获2、3位。葡萄牙连队获8位。台湾陈佳宏获9、10位。预赛6位得主吴焕辉决赛获15位、99位。前20位中国选手进奖14羽,为国争光!
1-30名
2018世锦赛,3月27日7时正,准时放鸽
2018世锦赛决赛26日集鸽,国际鸽联、德国鸽协主席赴台亲自上阵 3月26日上午,国际鸽联(F.C.I.)主席兼匈牙利信鸽协会主席依斯特凡·巴窦斯(Istvan Bardos)伉俪、德国信鸽协会(DV)主席马丁·理查德·格罗斯(Martin Richard Gross)同机抵达台湾,为2018世界信鸽冠军锦标赛暨FCI国际公棚赛310公里决赛进行准备。
巴窦斯、格罗斯两位主席用餐之後,顾不上休息,就赶往了台湾屏东的潮州公棚。两位主席按照既定规程,亲自上阵开始了集鸽工作:抓鸽 - 盖章 - 脚环启动 - 翅膀拍照 - 装笼 - 封笼,每个环节两人都显示出了极端负责的态度、严谨的工作作风和娴熟的操作水平,满满的仪式感,令人感动!
集鸽从下午2点开始,至晚间6点半结束,共计集鸽487羽,分别来自来自中国、中华台北、比利时、葡萄牙、美国、泰国、菲律宾、德国、中国香港、越南、韩国、日本、波兰、英国、义大利、捷克、罗马尼亚、西班牙、匈牙利、法国、加拿大等21个国家和地区代表队。 台湾青田鸽会执行长吴宗铭、一鸽文创股份有限公司总裁林则宇等人陪同了今日的集鸽工作。
明日上午,这些代表代表着各自国家和地区荣耀的勇士将在台湾北部的台北港开笼放飞,天空等待着牠们去征服,祖国的荣耀系于牠们一身!加油吧,勇士们! 据悉,中国信鸽协会裁判委员会主任宋智海先生、中国信鸽协会驻欧洲办事处代表高兰女士也在今日抵达台湾,明日将以观察员身份观摩此次决赛实况。 附:2018世界信鸽冠军锦标赛暨FCI公棚赛决赛集鸽清单
3月27日,中国信鸽运动将史无前例引爆世界! 明天,3月27日,随着2018世界信鸽冠军锦标赛暨FCI国际公棚赛决赛在台湾桃园开赛,同时2018第三届“正大杯”金鸽奖颁奖盛典暨中国信鸽产业高峰论坛在北京举行,中国信鸽运动将迎来史无前例的一天! 2018世界信鸽冠军锦标赛 暨FCI国际公棚赛决赛
3月27日,2018世界信鸽冠军锦标赛暨FCI国际公棚赛310公里决赛将在台湾岛北部的桃园市震撼打响。届时,包括中国信鸽协会在内的国际鸽联和多国信鸽协会主席、秘书长将赴宝岛台湾共襄盛举,共同见证世界赛鸽史上的这一重要时刻! 回 顾 2017年1月,在连续三天的比利时布鲁塞尔第35届世界奥林匹克大会期间,来自世界各地的54个会员国代表,经过热烈的讨论与表决後,台湾地区赛鸽总会(CTRPA)成功地争取到了2018年FCI国际公棚世界信鸽冠军锦标赛在台湾举行,赛鸽总会同时也获得正式提名角逐第37届世界信鸽奥林匹克大会的主办权。 CTRPA争取到2018世锦赛主办权后,就积极展开筹备工作,并委由屏东青田分会承办比赛事务,整修潮州公棚、规划比赛时程、拟定比赛章程等作业。 最终,来自中华台北、中国、比利时、葡萄牙、美国、泰国、菲律宾、德国、中国香港、越南、韩国、日本、波兰、英国、义大利、捷克、罗马尼亚、西班牙、匈牙利、法国、加拿大等21个国家和地区代表队的总计1300多羽信鸽进入公棚参赛。 3月17日,200公里预赛,549羽赛鸽在台中港开笼。来自葡萄牙队的保罗·乔吉·莫雷拉·马丁斯的赛鸽,以1240.8421米/分之速夺得预赛冠军!比利时名将迪尔特·许瑞尔和范德梅伦·宋妮雅则分别以1238.5881和1238.288之分速分列亚军和季军。 前20名里,中华台北队包揽了4至12名,总计占15席;中国队刘健和宋大山组合夺得13名,喜翔赛鸽中心获21名,福建省信鸽联队获29名;中国香港队的石振也跻身30名。 至当日17:35:35,共计438羽鸽子归巢,当日归巢率79.78%,为27日决赛奠定了良好基础。 如果决赛顺利举行,之後将在我国钓鱼岛海域举行467公里特别挑战赛,有别于前两关陆翔,这将是一场充满台湾特色且彰显两岸中国鸽友决心的历史之战!
公开邀请函 2018第三届“正大杯”金鸽奖暨中国信鸽产业高峰论坛
尊敬的女士们、先生们,各获奖单位及获奖鸽友,业界同仁: 兹定于3月26日-28日,在北京.国家会议中心举行2018第三届“正大杯”金鸽奖暨中国信鸽产业高峰论坛。届时,我们将对在2017年金鸽奖指定赛事单位中取得优异成绩的获奖鸽友给予表彰,同时,特别邀请知名专家学者就鸽界热点问题进行对话交流。 这是鸽界有史以来,首次在国家会议中心举办的盛会,相信她的成功举办将对中国鸽界的未来产生巨大影响。同登国家舞台,共创鸽坛历史,是我们的荣幸。 现盛邀您拨冗莅会,敬祈周知! 中国职业赛鸽网 金鸽奖组委会 二〇一八年三月十八日
活动介绍 一、活动时间:2018年3月26—28日 二、活动地点:北京.国家会议中心 三、活动目的: 1、站在新的更高历史起点,探讨中国信鸽事业的新未来。 2、感恩鸽友,让中国鸽友体面地登上国家舞台,让他们更受尊敬!让他们的赛鸽人生更精彩! 3、新时代,新目标,新作为。为把中国打造成为世界赛鸽中心贡献新力量! 四、活动理念:共识、共建、共享、共赢
五、活动日程及主题: 3月26日下午2点以后开始报到,入住酒店。 3月27日上午9:00 主题:中国信鸽产业高峰论坛 参会人员:全部参会人员 地点:北京.国家会议中心大宴会厅 3月27日下午14:00 主题:中国信鸽企业领导人圆桌峰会 参加人员:公棚俱乐部企业领导人及特邀嘉宾 地点:北京.国家会议中心多功能厅
下午12:00-16:00 主题:“鸽之梦”高级别鸽友文化沙龙 参加人员:金鸽奖获奖鸽友 地点: 开创者(北京)国际俱乐部 晚上18:00 主题:第三届“正大杯”金鸽奖颁奖盛典 参加人员:全部参会人员。 地点:北京.国家会议中心大宴会厅 六、参会人员: 1、协会、公棚、俱乐部及相关企业负责人。 2、媒体主编、记者,知名专栏作家。 3、2017年度“金鸽奖”获奖鸽友。 4、欢迎未获奖单位及广大鸽友参加,预约电话010-62561728。
七、相关费用: 参会企业每家3万,含食宿费、会务费、宣传费及赞助费等。请接函后在3-5个工作日将费用汇至指定账户: 建行:6227 0000 1103 1258 304 户名:申延峰 开户行地址:中国建设银行北大南街支行 农行:62284 8001 00722 05411 户名:申延峰 开户行地址:中国农业银行北京支行海淀分行北大分处理处 八、参会须知 1、报到离会:3月26日下午2点报到,28日12点之前离会。 2、住宿地址及联系电话: (1)特邀嘉宾及获奖鸽友入住北大中关新园,地址在北京大学东门对面。联系电话:010-62752288 (2)企业负责人入住北辰洲际酒店,地址在北京.国家会议中心(鸟巢),联系电话010-84371188。如有调整另行通知。 3、参会人员一律正装出席,言行文明。 4、食宿由中国职业赛鸽网承担,差旅费及个人消费自理。 5、参加颁奖盛典活动必须提前预约,无法临时增加席位,望谅解。具体事宜请联系会务组接洽,联系电话:010-62561728。 最新消息 经过2018“正大杯”金鸽奖会务组数日连夜奋战,大会各项议程和安排已经全部就绪,静待26日下午各位嘉宾和获奖者的到来!北京欢迎您!
评论
更多评论>>
登录
↑回顶部