登录
注册
<< 返回列表
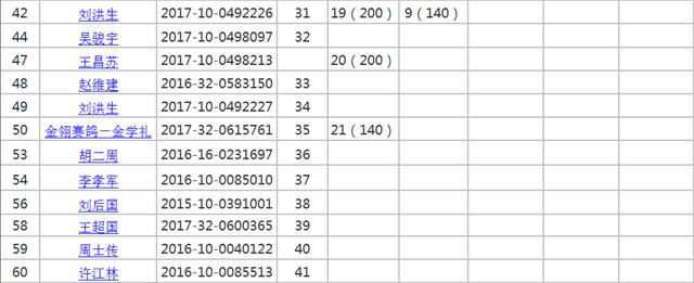
【最新】:2018年春季郑州明指获奖名单及奖金分配!(公示三日)
2018-04-12 13:40:01
评论
更多评论>>
登录
↑回顶部