登录
注册
<< 返回列表
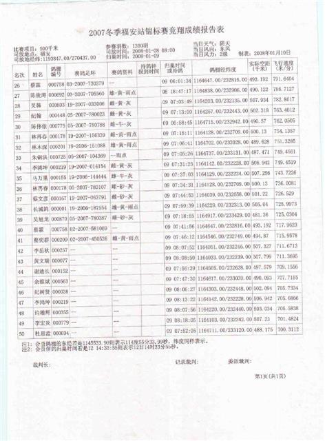
07年冬季赛500公里决赛补充成绩表
2008-01-16 14:19:01
评论
更多评论>>
登录
↑回顶部