登录
注册
<< 返回列表
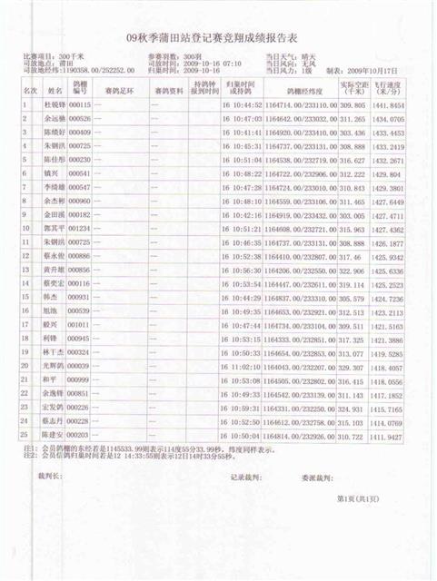
汕头龙湖鸽会2009年09秋季莆田登记赛成绩,请校对
2009-10-19 20:31:51
评论
更多评论>>
登录
↑回顶部