登录
注册
<< 返回列表
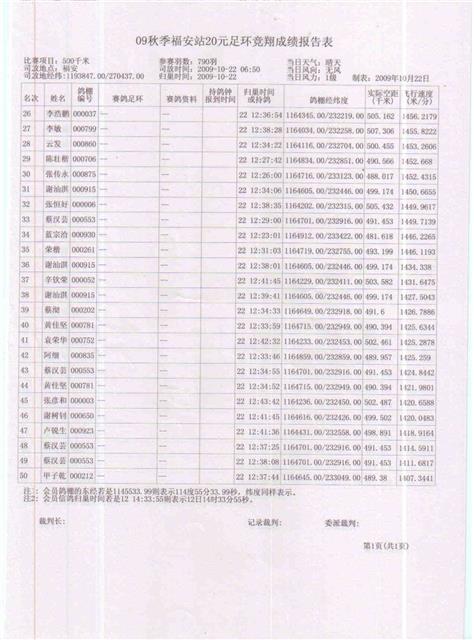
汕头龙湖鸽会2009年秋季福安站20元足环成绩,请校对
2009-10-26 11:56:52
评论
更多评论>>
登录
↑回顶部